Unlock the Secret of a Gravity-Defying Parkour Stunt—With Physics! | Unlock Informed Choices with Us

Unlock the Secret of a Gravity-Defying Parkour Stunt—With Physics!

0 Shares


Thank you for reading this post, don't forget to subscribe!

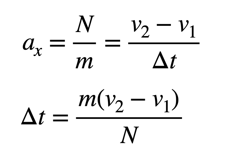
We can break that diagonal motion down into horizontal and vertical portions; for now let’s just focus on the former. Say you start with a horizontal velocity (v1) of –1 meter per second and rebound with a horizontal velocity (v2) of +1 m/s. The change of sign indicates the reversal of direction. Think of it like you’re moving back and forth along the x axis of a coordinate plane, negative to the left, positive to the right.

Notice that your speed stays the same, but the velocity changes. (Remember, velocity has a direction.) In fact, because your horizontal velocity reverses, you get a big increase in velocity. (v2 – v1) = (1 – (–1)) = 2. This gives you a larger impact acceleration, a greater normal force, and more friction. The bouncing back and forth is the whole key to beating gravity in this stunt.

So how much force would you need to exert to make one of these rebounding wall jumps? Let’s say you have a mass of 75 kilograms and a friction coefficient of 0.6, which is probably conservative for rubber soles.

For starters, the frictional force (Ff) must equal or exceed the gravitational force (mg). The gravitational field strength on Earth (g) is 9.8 newtons per kilogram. So the gravitational force, (m x g) = 75 x 9.8 = 735 newtons.

Now remember, the frictional force is the normal force times the coefficient of friction (Ff = μN). So to achieve a minimum frictional force of 735 newtons, we need a normal force of at least 1,225 newtons (Ff/μ = 735/0.6 = 1,225).

Both of these forces, gravity and the normal force, are pushing on you, so we need to add them up to get the net force. Since they’re perpendicular, we can easily calculate the vector sum as 1,429 newtons. (Take note, kids: You want to be a parkour hero? Take linear algebra.)

That means you need to push back with the same force (because forces are an interaction between two things). 1,429 newtons is a force of 321 pounds. That’s significant but not impossible. Doing it eight times in rapid succession, though? Not so easy.

How much time do you have to do the turnaround? With the normal force and mass of the person, we can calculate the horizontal acceleration ax. By definition, that in turn equals the change in velocity per unit of time (Δt), so we can use that to solve for the time interval:

Plugging in our numbers, we get a time interval of 0.12 second. In other words, if you hesitate you fall. Bottom line, if you want to do this awesome parkour stunt you gotta be strong, fast, and fearless—because if you run short of newtons halfway up, the descent is a lot faster than the ascent.



Leave a Reply

Your email address will not be published. Required fields are marked *

WP2Social Auto Publish Powered By : XYZScripts.com