physics Archives | Unlock Informed Choices with Us

physics

How Energy-Generating Sidewalks Work

We walk here, we walk there, we walk everywhere. Maybe you’re headed to work...

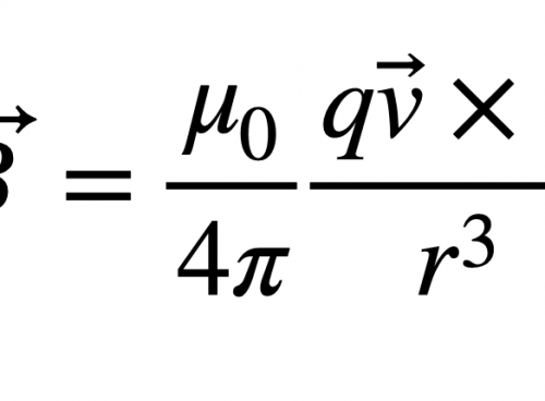
What Is the Magnetic Constant and Why Does It Matter?

This means these three values can’t be independent; if you know two of them,...

What Is the Electric Constant and Why Should You Care?

It’s fun to think about the fundamental physical constants. These are special values used...

Einstein Showed That Time Is Relative. But … Why Is It?

Nope, NOT 20 m/s. To them the ball is moving at 30 m/s (i.e.,...

Space Elevators Could Totally Work—if Earth Days Were Much Shorter

Suppose you could speed up Earth’s rotation so that a day was only half...

Are Those Viral ‘Cooling Blankets’ for Real?

Touch both objects. They’re the same temperature, but the wood feels warmer, right? Why...

Is Using a Stair Machine the Same as Climbing Stairs?

Since the change in kinetic energy is still zero, this means that the positive...

A New Quantum Algorithm Speeds Up Solving a Huge Class of Problems

The original version of this story appeared in Quanta Magazine. For computer scientists, solving...

This Famous Physics Experiment Shows Why the Government Should Support ‘Useless’ Science

The lighter creates a tiny spark that jumps from one wire to the other...

Torpedo Bats and the Physics of the Sweet Spot

If the ball hits the stick and bounces back, what will happen to the...

WP2Social Auto Publish Powered By : XYZScripts.com