Does Jewelry and Big Hair Slow Down Olympic Runners? | Unlock Informed Choices with Us

Does Jewelry and Big Hair Slow Down Olympic Runners?

0 Shares


Thank you for reading this post, don't forget to subscribe!

Hold on, though. That’s a thick chain Lyles is wearing, and the watch itself probably weighs some 150 grams. So let’s say the mass of the jewelry is 250 grams instead of 10. In this case we’d get an acceleration of 99.61 percent of our base model. Still a pretty tiny difference. If I was a running coach, I’d say that if the chain makes you feel good, go for it!

Running With Hair

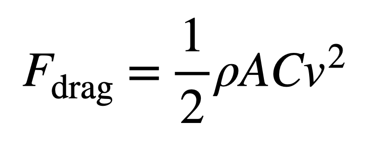
What about hair? Does it matter if you pull your hair back or let it stream out behind you? In this case, it’s not a case of extra mass but air drag. This is more complicated, but we can again get a rough estimate. One model for the drag force looks like this.

COURTESY OF RHETT ALLAIN

This drag force increases with the velocity (v), the density of the air (ρ), the cross-sectional area of the runner (A), and their shape (represented by a drag coefficient C). So as the runner ramps up their speed, the drag force also increases. Some people say that this is what makes the runner reach a constant speed. But that can’t be true—otherwise you could run infinitely fast on a treadmill, where there is no air drag.

So now let’s add this force to a runner during the acceleration phase of a 100-meter sprint. Although humans are a very complicated shape, we can get an estimate of the drag parameters by looking at a sky diver. When a human jumps out of an airplane, they increase in speed until the downward-pulling gravitational force (mass times the gravitational field) is equal to the upward-pushing air drag force. This is called terminal velocity, and for normal humans it has a value of about 120 miles per hour (54 meters per second).

If we take our 65-kg person, then the value of all the stuff in front of the velocity in the equation would be 0.218 Ns2/m2. (Just take my word for it and don’t worry about those complicated units.)

When I add this drag force into the model, I get a 100-meter time of 11.9884 seconds with a top speed of 10.6822 meters per second.

Now suppose you have very voluminous hair. In the extreme case, that might increase the cross-sectional area of the runner by 1 percent. That means the constant in front of the velocity would also increase by 1 percent. Great. That gives a run time of 11.9925 seconds. Oh snap. You just lost 0.0041 seconds off your time. Speaking as a guy with almost no hair to speak of, I’d say that’s totally worth it.

Leave a Reply

Your email address will not be published. Required fields are marked *

WP2Social Auto Publish Powered By : XYZScripts.com