olympics Archives | Unlock Informed Choices with Us

olympics

The Enhanced Games Has a Date, a Host City, and a Drug-Fueled World Record

The Enhanced Games—a kind of Olympics for athletes who are doping—today announced the date...

John McFall, the Astronaut Flag Bearer at the Paris Paralympics, Is Ready to Fly

At first we studied how my disabilities and prosthesis might affect my ability to...

7 Things to Know About the 2024 Paris Paralympics

The Paralympics also measures, with numerical values, the diversity of intensity of effort that...

Does Jewelry and Big Hair Slow Down Olympic Runners?

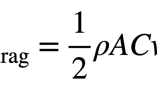
Hold on, though. That’s a thick chain Lyles is wearing, and the watch itself...

The Olympics' Hostile Architecture Is a Preview of What's to Come

On a graffiti-stained sidewalk in Paris, a strange sight appeared days before the Olympic...

The Incredible Physics of Simone Biles’ Yurchenko Double Pike

A gymnast can actually perform both of these types of rotation at the same...

The Purple Track at the 2024 Summer Olympic Games Has a Secret Ingredient

THIS STORY ORIGINALLY appeared on WIRED en Español and has been translated from Spanish....

Why Paris 2024 Olympic Athletes Are Sleeping on Cardboard Beds

This story originally appeared in WIRED Italia. It has been translated from Italian. Yes,...

Omega’s AI Will Map How Olympic Athletes Win

On August 27, 1960, at the Olympics in Rome, one of the most controversial...

WP2Social Auto Publish Powered By : XYZScripts.com