Latest Technology news, articles features and much more

Technology

Lexie B2 Plus Review: Good Value Hearing Aids

The Bose-powered behind-the-ear Lexie B2 is a great value in the world of hearing...

Can-Am Pulse Electric Motorcycle: Specs, Price, Availability

The dual-sport Origin has a city range of 90 miles and a combined range...

Apple iPhone 16 and iPhone 16 Plus Review: Why Go Pro?

In recent years, Apple started giving the iPhone Pro models a significant chip upgrade...

Adaptogenic drinks: The Race to Make Your Coffee Do More and More

While Four Sigmatic smuggles its adaptogens directly into coffee grounds, many adaptogenic drinks pitch...

New Evidence Shows Heat Destroys Quantum Entanglement

But not all questions about quantum systems are easier to answer using quantum algorithms....

4 Useful Slack Features You May not Be Using Yet

Slack has been keeping offices and organizations humming along since all the way back...

This New Pac-Man Machine Brought Me Closer to My Teen Kids

Pac-Man is a classic arcade game that deserves all the love. Guiding an abstract...

America’s Dairy Farms Have Vanished

Does it become bottled milk? That’s Class 1 price. Yogurt? Class 2 price. Cheddar...

How to Switch iPhones or iPads and Transfer Data (2024)

Losing all the stuff on your phone was no big deal before the smartphone...

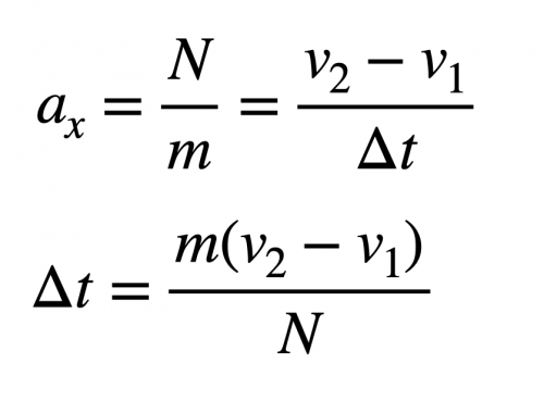
Unlock the Secret of a Gravity-Defying Parkour Stunt—With Physics!

We can break that diagonal motion down into horizontal and vertical portions; for now...

WP2Social Auto Publish Powered By : XYZScripts.com